반응형
SMALL

(1)힙트리 Heap tree
정렬에 사용되느 이진트리
항상 전이진 트리를 구성
중복된 값을 허용
힙은 최대값,최소값 검색을 위한 구조
Max heap 최대 힙 : 부모 노드 키 > 자식 노드 키
Min heap 최소 힙 : 부모 노드 키 < 자식 노드 키
우선순위 큐를 위하여 만들어진 자료구조
데이터에서 최대값과 최소값을 빠르게 찾기 위해 고안된 완전 이진 트리
※ 완전이진트리 : 노드 삽입 할 때부터 최하단 왼쪽 노드부터 차례대로 삽입하는 트리
부모 노드의 값은 자식 노드의 값보다 큰 상태를 유지한다
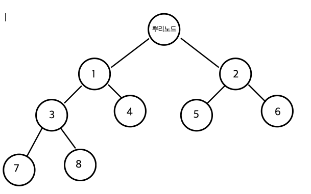
추가하기
왼쪽 하단부부터 노드가 채워지는 형태
노드가 채워진다면 숫자 순서대로 채워진다
추가한다면 마지막 노드를 생성하고 부모 노드가 자신보다 클때까지 부모로 올라간다.

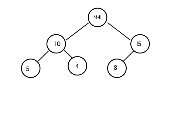
삭제하기
상단 데이터 삭제시

하단부 왼쪽에 위치한 노드를 뿌리 노드로 이동

뿌리 노드 값이 자식 노드보다 작을경우
뿌리 노드의 자식노드 중 가장 큰 값을 가진 노드와 뿌리 노드 위치 바꿔주는 작업 반복

시간복잡도
시간 복잡도 Big O 표기법 이란
불필요한 연산을 제거하여 알고리즘 분석을 쉽게 할 목적으로 사용된다
| Bio O 표기법 | 내용 | 시간복잡도 빠른순 |
| O(1) | 입력자료의 수에 관계없이 일정한 실행시간을 갖음 | 1 |
| O(logn) | 입력자료의 수에 따라 시간이 흐를수록 시간이 조금씩 증가 | 2 |
| O(n) | 입력 자료의 수에 따라 선형적인 실행 시간이 걸리는 경우 - 입력자료마다 일정 시간 할당 |
3 |
| O(nlogn) | 큰 문제를 일정 크기 갖는 문제로 쪼개고(logn+logn+ .. + logn) 다시 그것을 모으는 경우 |
4 |
| O(n^2) | 이중 루프내에서 입력 자료를 처리할 때 | 5 |
| O(n^3) | 삼중 루프 내에서 입력자료 처리할 때 | 6 |
| O(2^n) | 7 | |
| O(n!) | 8 |
이진 트리로 구성되어 있기 떄문에 노드의 갯수가
값을 제거하거나 추가하면 힙을 갱신하는 동안 O(logN) 소요
| 힙 의 시간복잡도 | 삽입 add | O(logn) |
| 삭제 | O(logn) | |
| 최소값 접근 | O(1) |
반응형
LIST
'🌈 백엔드 > 자료구조' 카테고리의 다른 글
| 자료구조_비선형구조 ① 트리 - 트리셋 TreeSet (0) | 2023.03.08 |
|---|---|
| 자료구조_비선형구조 ① 트리 - 트리맵 TreeMap (0) | 2023.03.08 |
| 자료구조_비선형구조 ① 트리 - 이진 탐색 트리 (0) | 2023.03.08 |
| 자료구조_선형구조 ④ 큐 (0) | 2023.03.08 |
| 자료구조_선형구조 ③ 스택 (0) | 2023.03.08 |